[...] viajando à velocidade de 290 m/s, que fica encravada nele. Ache o ângulo θ (em rad) entre o fio e a vertical em função do tempo t.
Como de costume sugiro que ao ler a questão retirem primeiro todos os dados numéricos para em seguida começar sua análise buscando por meio de desenhos e dados coletados procurar identificar que instrumentos da física utilizar para seguir na busca pela que pede a questão.
Então vamos lá!
m = 10g (0,01kg); M = 8kg; L = 0,85cm; t = 0s; vm = 290 m/s
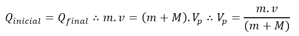
Para começar nossa análise, vejam que ao ser atingido pela bala o corpinho (pendulo) irá desenvolver um movimento para frente na direção do trajeto da bala e depois retornar formando um semi-circulo e depois de volta. Desta forma temos aí o surgimento de um torque (momento) que nos leva a pensar na Teoria da conservação do momento que iguala os momento final ao momento inicial.
Chamaremos,
Qi = Qf
O Q (inicial) se refere ao da bala e o Q (final) logo após a colisão se refere ao da bala mais do corpinho ( m + M ).
Sabendo que Q = m . v, temos então que,
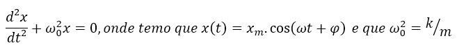
Vejam que já conhecemos as condições da velocidade após o choque da bala com o pêndulo. Bem como já é percebido que temos ai um Movimento Harmônico Simples (MHS). Logo vamos inferir algumas condições.
Considerando t=0s e θ = 0. Da sentença acima temos que,
Atenção para a situação acima. Percebam que para chegarmos a esta utilizamos - também de forma análoga - a condição dada onde t=0 e φ = 0.
Logo,
Deixar aí seu comentário, sua dúvida.
Até a próxima!




